mapa unicesumar 2025
![]() |
| ATIVIDADE 1 – PROJETO DE ENSINO – OFICINA DE CÁLCULO: TÉCNICAS DE RESOLUÇÃO – 52_2025 | |
| Período: | 05/05/2025 08:00 a 13/07/2025 23:59 (Horário de Brasília) |
| Status: | ABERTO |
| Gabarito: | Gabarito será liberado no dia 14/07/2025 00:00 (Horário de Brasília) |
| 1ª QUESTÃO | |||||||||||
Dadas as funções:![]() Analise as afirmativas seguintes. ![]() É correto o que se afirma em: |
|||||||||||
| ALTERNATIVAS | |||||||||||
|
|||||||||||
| 2ª QUESTÃO | |||||||||||
|
Considere as funções dadas por f(x) = x3 – 4x + 6, g(x) = x2(1 – 2x) e h(x) = (3x + 1)2.
Assim, o valor da função z(x) = f ’(x) + g’(x) + h’(x) é igual a: |
|||||||||||
| ALTERNATIVAS | |||||||||||
|
|||||||||||
| 3ª QUESTÃO | |||||||||||
|
Dadas as funções:
.Analise as afirmativas seguintes.
É correto o que se afirma em: |
|||||||||||
| ALTERNATIVAS | |||||||||||
|
|||||||||||
| 4ª QUESTÃO | |||||||||||
Dadas as funções:
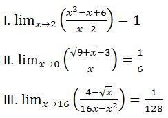
![]() Usando a regra de L’Hôspital, quando for apropriado, analise as afirmativas seguintes. ![]() É correto o que se afirma em: |
|||||||||||
| ALTERNATIVAS | |||||||||||
|
|||||||||||
| 5ª QUESTÃO | |||||||||||
|
Dadas as funções:
![]() Assim, z(x) = f’(x)+g’(x)+h’(x) é igual a: |
|||||||||||
| ALTERNATIVAS | |||||||||||
|
|||||||||||
| 6ª QUESTÃO | |||||||||||
|
Dadas as funções:
Analise as afirmativas seguintes.
É correto o que se afirma em: |
|||||||||||
| ALTERNATIVAS | |||||||||||
|
|||||||||||
| 7ª QUESTÃO | |||||||||||
|
Ache os pontos sobre a curva y = 2x3 + 3x2 – 12x + 1 onde a tangente é horizontal.
|
|||||||||||
| ALTERNATIVAS | |||||||||||
|
|||||||||||
| 8ª QUESTÃO | |||||||||||
Dadas as funções:![]() Analise as afirmativas seguintes. ![]() É correto o que se afirma em: |
|||||||||||
| ALTERNATIVAS | |||||||||||
|
|||||||||||
| 9ª QUESTÃO | |||||||||||
Dadas as funções:![]() Usando a regra de L’Hôspital, quando for apropriado, analise as afirmativas seguintes. ![]() É correto o que se afirma em: |
|||||||||||
| ALTERNATIVAS | |||||||||||
|
|||||||||||
| 10ª QUESTÃO | |||||||||||
|
Dadas as funções:
Analise as afirmativas seguintes.
É correto o que se afirma em: |
|||||||||||
| ALTERNATIVAS | |||||||||||
|
|||||||||||



.



.
.
.
.
.






