mapa unicesumar 2025
![]() |
| ATIVIDADE 2 – PROJETO DE ENSINO – OFICINA DE CÁLCULO: TÉCNICAS DE RESOLUÇÃO – 52_2025 | |
| Período: | 05/05/2025 08:00 a 13/07/2025 23:59 (Horário de Brasília) |
| Status: | ABERTO |
| Gabarito: | Gabarito será liberado no dia 14/07/2025 00:00 (Horário de Brasília) |
| 1ª QUESTÃO | |||||||||||
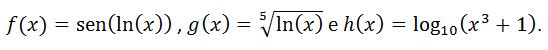
Dadas as funções:![]() Analise as afirmativas seguintes. ![]() É correto o que se afirma em: |
|||||||||||
| ALTERNATIVAS | |||||||||||
|
|||||||||||
| 2ª QUESTÃO | |||||||||||
Considere as funções:![]() Analise as afirmativas seguintes. ![]() É correto o que se afirma em: |
|||||||||||
| ALTERNATIVAS | |||||||||||
|
|||||||||||
| 3ª QUESTÃO | |||||||||||
Dadas as funções:![]() Analise as afirmativas seguintes. ![]() É correto o que se afirma em: |
|||||||||||
| ALTERNATIVAS | |||||||||||
|
|||||||||||
| 4ª QUESTÃO | |||||||||||
Dadas as funções:![]() Analise as afirmativas seguintes. ![]() É correto o que se afirma em: |
|||||||||||
| ALTERNATIVAS | |||||||||||
|
|||||||||||
| 5ª QUESTÃO | |||||||||||
|
Dadas as funções:
Analise as afirmativas seguintes.
É correto o que se afirma em: |
|||||||||||
| ALTERNATIVAS | |||||||||||
|
|||||||||||
| 6ª QUESTÃO | |||||||||||
|
Dadas as funções:
![]() Analise as afirmativas seguintes.
|
|||||||||||
| ALTERNATIVAS | |||||||||||
|
|||||||||||
| 7ª QUESTÃO | |||||||||||
|
Dadas as funções:
Analise as afirmativas seguintes.
É correto o que se afirma em: |
|||||||||||
| ALTERNATIVAS | |||||||||||
|
|||||||||||
| 8ª QUESTÃO | |||||||||||
Dadas as funções:![]() Analise as afirmativas seguintes. ![]() É correto o que se afirma em: |
|||||||||||
| ALTERNATIVAS | |||||||||||
|
|||||||||||
| 9ª QUESTÃO | |||||||||||
|
Dadas as funções:
Analise as afirmativas seguintes.
É correto o que se afirma em: |
|||||||||||
| ALTERNATIVAS | |||||||||||
|
|||||||||||
| 10ª QUESTÃO | |||||||||||
Dadas as funções:![]() Analise as afirmativas seguintes. ![]() É correto o que se afirma em: |
|||||||||||
| ALTERNATIVAS | |||||||||||
|
|||||||||||



















